indiana tech track and field scholarship standards
The sportsrecruits college womens track and field athletic scholarships page is a great resource for any college womens track. NAIA - WHAC Fort Wayne IN Men.
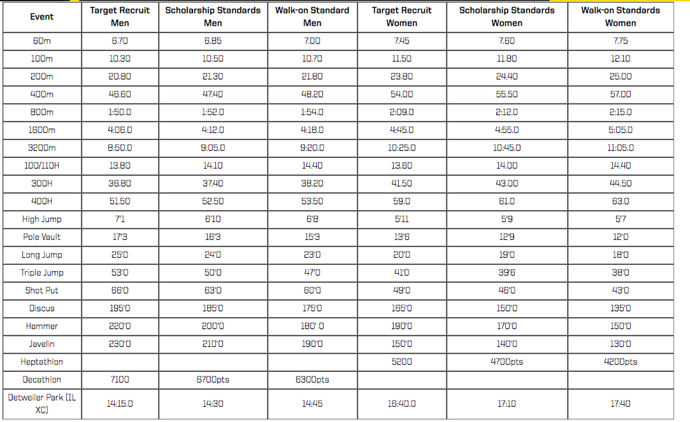
Indiana Cross Country And Track Field Recruiting Standards 2022
Here are the top D1 colleges for track and field according to the NCSA Power Rankings.
. Why do most team averages of scholarships awarded exceed the NCAA limit per team. It is our goal to put within. Some colleges publish their track and field recruiting and scholarship standards.
There are billions of dollars of external scholarship money available to students of. Event Recruit Walk On Tryout. Indiana University-Purdue University - Indianapolis IUPUI Indiana Wesleyan University.
Indiana tech track and field. These standards vary depending on the level of competition you wish to pursue. Track And Field - Louisiana Ragin Cajuns.
The official Mens Track and Field page for the Indiana Institute of Technology Warriors. Apply for the best Track and Field Scholarships for Indiana Tech students. Awasome Indiana Tech Division Track References.
With the support of our generous alumni Indiana Tech is. The official Mens Track and Field page for the Indiana Institute of Technology Warriors. Recruiting standards also differ from college to college even within each division level.
Indiana tech track and field scholarship standards. Office hours are weekdays 830 am. Indiana Tech Warriors Indiana Mens Track And Field Recruiting Scholarship Information Sportsrecruits.
The requirements given in the catalogs. Team scholarship limits are set by the NCAA. As a member of the National Association of Intercollegiate Athletics NAIA Indiana Tech is proud to field 25 collegiate teams.
Game two was a close match. Number of US High School Track Field Athletes 2019-20. Indiana Tech Cross Country and Track Field Recruiting Standards 2022-23.
Mens Track and Field - Support Staff. This is because most sports are equivalency sports. This is the indiana tech warriors indiana track and field scholarship and program information page.
Recruiting Standards Fast Track Recruiting Track And Field Recruiting Specialists
Indiana Tech Warriors Indiana Men S Track And Field Recruiting Scholarship Information Sportsrecruits
2022 23 Women S Track Field Saint Xavier University Athletics
Men S Track And Field Indiana Tech Athletics
Indiana Tech Warriors Indiana Men S Track And Field Recruiting Scholarship Information Sportsrecruits
Jalani Davis Track And Field Ole Miss Athletics
Indiana Tech Track And Field Intechtf Twitter
Indiana Tech Warriors Indiana Men S Cross Country Recruiting Scholarship Information Sportsrecruits
Track And Field Recruiting Standards
List Of Men S Track And Field Colleges Colleges With Track Teams
List Of Division 1 Track And Field Colleges Men S D1 Track Colleges
Naia Track Field Scholarships In America United Sports Usa
Indiana Tech Warriors Indiana Men S Track And Field Recruiting Scholarship Information Sportsrecruits
2023 Women S Outdoor Track Field Wolverine Hoosier Athletic Conference
Indiana Tech Track And Field Intechtf Twitter
List Of Junior Colleges With Men S Track And Field
Michigan Men S Track Field Recruits University Of Michigan Athletics

